즐겨찾기추가
사이트맵
홈
|
회원가입
로그인
교회소개
담임목사인사말
교회연혁
섬기는분
예배안내
시설안내
오시는길
말씀과찬양
주일설교
찬양대
교회학교
유치부
유초등부
중고등부
청년부
교제와나눔
새가족소개
포토갤러리
행사동영상
선교와복지
아동복지
국내선교
해외선교
게시판
교회소식
교우소식
주보
성도사업장
자료실
자유게시판
게시판
교회소식
교우소식
주보
성도사업장
자료실
자유게시판
게시판
> 주보
제 목 :
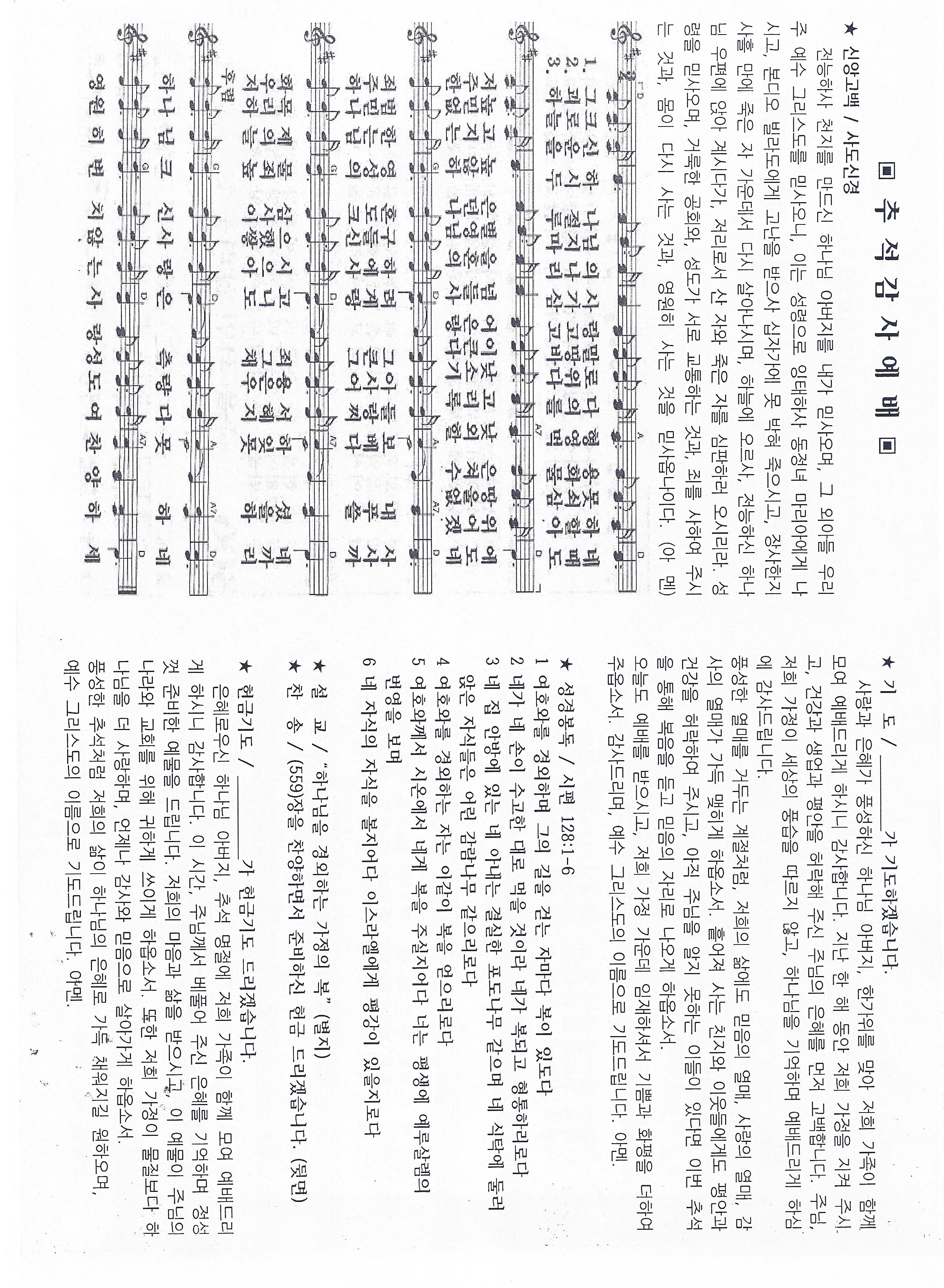
25년 9월 28일 주보입니다.
조회수 : 140
작성자 : 윤예진
작성일 : 2025-09-27
25년 9월 28일 주보입니다.
"
이전글 :
25년 9월 21일 주보입니다.
다음글 :
25년 10월 5일 주보입니다.
이전글
다음글
목록보기
교회소개
예배시간안내
찾아오시는길
주일설교
주보
교회소식
포토갤러리